KEGG   REACTION: R01122
Entry
R01122                      Reaction                               
Name
delta2-isopentenyl-diphosphate:tRNA isopentenyltransferase
Definition
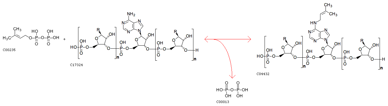
Dimethylallyl diphosphate + tRNA adenine <=> Diphosphate + tRNA containing 6-isopentenyladenosine
Equation
Reaction class
RC00121  C04432_C17324
RC02820  C00235_C04432
Enzyme
Pathway
rn00908  Zeatin biosynthesis
rn01100  Metabolic pathways
rn01110  Biosynthesis of secondary metabolites
Brite
Enzymatic reactions [BR:br08201]
 2. Transferase reactions
  2.5  Transferring alkyl or aryl groups, other than methyl groups
   2.5.1  Transferring alkyl or aryl groups, other than methyl groups (only sub-subclass identified to date)
    2.5.1.75
     R01122  Dimethylallyl diphosphate + tRNA adenine <=> Diphosphate + tRNA containing 6-isopentenyladenosine
Orthology
K00791  tRNA dimethylallyltransferase [EC:2.5.1.75]
Other DBs
RHEA: 26485
LinkDB

DBGET integrated database retrieval system