| Entry |
|
| Name |
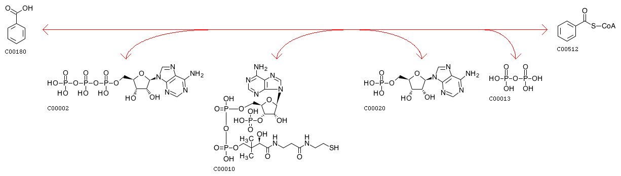
benzoate:CoA ligase (AMP-forming)
|
| Definition |
ATP + Benzoate + CoA <=> AMP + Diphosphate + Benzoyl-CoA
|
| Equation |
|
|
 |
| Reaction class |
|
| Enzyme |
|
| Pathway |
| rn01120 | Microbial metabolism in diverse environments |
|
| Brite |
Enzymatic reactions [BR:br08201]
6. Ligase reactions
6.2 Forming carbon-sulfur bonds
6.2.1 Acid-thiol ligases
6.2.1.25
R01422 ATP + Benzoate + CoA <=> AMP + Diphosphate + Benzoyl-CoA
|
| Orthology |
|
| Other DBs |
|
| LinkDB |
|