KEGG   REACTION: R01424
Entry
R01424                      Reaction                               
Name
N-benzoylglycine amidohydrolase
Definition
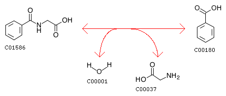
Hippurate + H2O <=> Benzoate + Glycine
Equation
Reaction class
RC00096  C00037_C01586
RC00162  C00180_C01586
Enzyme
Brite
Enzymatic reactions [BR:br08201]
 3. Hydrolase reactions
  3.5  Acting on carbon-nitrogen bonds, other than peptide bonds
   3.5.1  In linear amides
    3.5.1.32
     R01424  Hippurate + H2O <=> Benzoate + Glycine
Orthology
K01451  hippurate hydrolase [EC:3.5.1.32]
Other DBs
RHEA: 10427
LinkDB

DBGET integrated database retrieval system