KEGG   REACTION: R01532
Entry
R01532                      Reaction                               
Name
nucleoside-triphosphate diphosphohydrolase
Definition
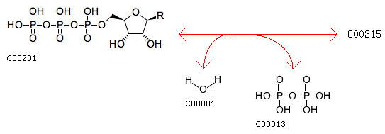
Nucleoside triphosphate + H2O <=> Nucleotide + Diphosphate
Equation
Comment
general reaction
Enzyme
Brite
Enzymatic reactions [BR:br08201]
 3. Hydrolase reactions
  3.6  Acting on acid anhydrides
   3.6.1  In phosphorus-containing anhydrides
    3.6.1.9
     R01532  Nucleoside triphosphate + H2O <=> Nucleotide + Diphosphate
IUBMB reaction hierarchy [BR:br08202]
 3. Hydrolase reactions
  3.6.1.9
   R01532  Nucleoside triphosphate <=> Nucleotide
Other DBs
RHEA: 23999
LinkDB

DBGET integrated database retrieval system