Entry |
|
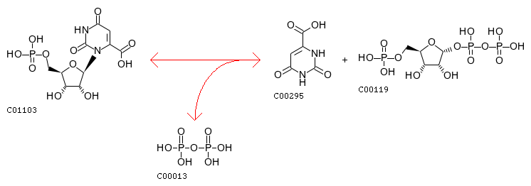
Name |
orotidine-5'-phosphate:diphosphate phospho-alpha-D-ribosyl-transferase
|
Definition |
Orotidine 5'-phosphate + Diphosphate <=> Orotate + 5-Phospho-alpha-D-ribose 1-diphosphate
|
Equation |
|
|
 |
Reaction class |
|
Enzyme |
|
Pathway |
|
Module |
M00051 | De novo pyrimidine biosynthesis, glutamine (+ PRPP) => UMP |
|
Brite |
Enzymatic reactions [BR:br08201]
2. Transferase reactions
2.4 Glycosyltransferases
2.4.2 Pentosyltransferases
2.4.2.10
R01870 Orotidine 5'-phosphate + Diphosphate <=> Orotate + 5-Phospho-alpha-D-ribose 1-diphosphate
|
Orthology |
|
Other DBs |
|
LinkDB |
|