KEGG   REACTION: R01929
Entry
R01929                      Reaction                               
Name
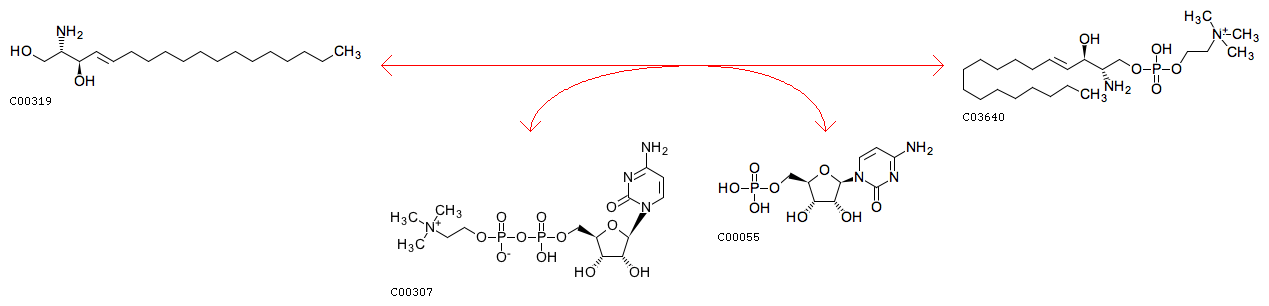
CDP-choline:sphingosine cholinephosphotransferase
Definition
CDP-choline + Sphingosine <=> CMP + Sphingosyl-phosphocholine
Equation
Reaction class
RC00002  C00055_C00307
RC00017  C00319_C03640
Enzyme
Pathway
rn00600  Sphingolipid metabolism
Brite
Enzymatic reactions [BR:br08201]
 2. Transferase reactions
  2.7  Transferring phosphorus-containing groups
   2.7.8  Transferases for other substituted phosphate groups
    2.7.8.10
     R01929  CDP-choline + Sphingosine <=> CMP + Sphingosyl-phosphocholine
Other DBs
RHEA: 21227
LinkDB

DBGET integrated database retrieval system