| Entry |
|
| Name |
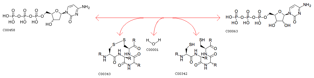
2'-deoxyuridine 5'-triphosphate:oxydized-thioredoxin 2'-oxidoreductase
|
| Definition |
dCTP + Thioredoxin disulfide + H2O <=> CTP + Thioredoxin
|
| Equation |
|
|
 |
| Reaction class |
|
| Enzyme |
|
| Pathway |
|
| Brite |
Enzymatic reactions [BR:br08201]
1. Oxidoreductase reactions
1.17 Acting on CH or CH2 groups
1.17.4 With a disulfide as acceptor
1.17.4.2
R02022 dCTP + Thioredoxin disulfide + H2O <=> CTP + Thioredoxin
IUBMB reaction hierarchy [BR:br08202]
1. Oxidoreductase reactions
1.17.4.2
R04315 Ribonucleoside triphosphate
R02022 dCTP <=> CTP
|
| Orthology |
| K00527 | ribonucleoside-triphosphate reductase (thioredoxin) [EC:1.17.4.2] |
|
| LinkDB |
|