KEGG   REACTION: R02242
Entry
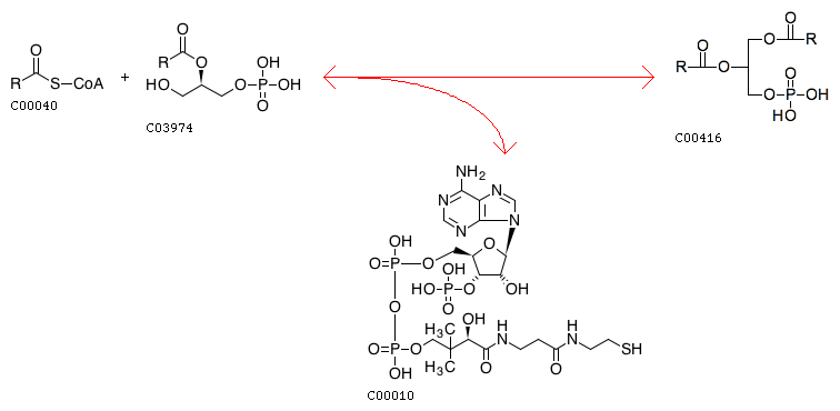
R02242                      Reaction                               
Name
acyl-CoA:2-acyl-sn-glycerol-3-phosphate O-acyltransferase
Definition
Acyl-CoA + 2-Acyl-sn-glycerol 3-phosphate <=> CoA + Phosphatidate
Equation
Reaction class
RC00004  C00010_C00040
RC00041  C00416_C03974
Enzyme
Pathway
rn00564  Glycerophospholipid metabolism
rn01110  Biosynthesis of secondary metabolites
Brite
Enzymatic reactions [BR:br08201]
 2. Transferase reactions
  2.3  Acyltransferases
   2.3.1  Transferring groups other than aminoacyl groups
    2.3.1.52
     R02242  Acyl-CoA + 2-Acyl-sn-glycerol 3-phosphate <=> CoA + Phosphatidate
Other DBs
RHEA: 14236
LinkDB

DBGET integrated database retrieval system