KEGG   REACTION: R02449
Entry
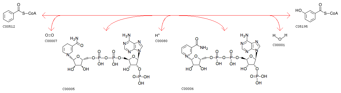
R02449                      Reaction                               
Name
benzoyl-CoA,NADPH:oxygen oxidoreductase (3-hydroxylating)
Definition
Benzoyl-CoA + Oxygen + NADPH + H+ <=> 3-Hydroxybenzoyl-CoA + NADP+ + H2O
Equation
Reaction class
RC00001  C00005_C00006
RC00490  C00512_C05195
Enzyme
Brite
Enzymatic reactions [BR:br08201]
 1. Oxidoreductase reactions
  1.14  Acting on paired donors, with incorporation or reduction of molecular oxygen
   1.14.13  With NADH or NADPH as one donor, and incorporation of one atom of oxygen into the other donor
    1.14.13.58
     R02449  Benzoyl-CoA + Oxygen + NADPH + H+ <=> 3-Hydroxybenzoyl-CoA + NADP+ + H2O
Other DBs
RHEA: 23219
LinkDB

DBGET integrated database retrieval system