KEGG   REACTION: R02554
Entry
R02554                      Reaction                               
Name
cyclopentanone,NADPH:oxygen oxidoreductase (5-hydroxylating, lactonizing)
Definition
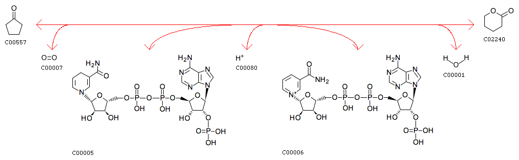
Cyclopentanone + Oxygen + NADPH + H+ <=> 5-Valerolactone + NADP+ + H2O
Equation
Reaction class
RC00001  C00005_C00006
RC00662  C00557_C02240
Enzyme
Brite
Enzymatic reactions [BR:br08201]
 1. Oxidoreductase reactions
  1.14  Acting on paired donors, with incorporation or reduction of molecular oxygen
   1.14.13  With NADH or NADPH as one donor, and incorporation of one atom of oxygen into the other donor
    1.14.13.16
     R02554  Cyclopentanone + Oxygen + NADPH + H+ <=> 5-Valerolactone + NADP+ + H2O
Other DBs
RHEA: 15740
LinkDB

DBGET integrated database retrieval system