| Entry |
|
| Name |
coniferin beta-D-glucosidase
|
| Definition |
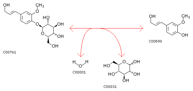
Coniferin + H2O <=> Coniferyl alcohol + D-Glucose
|
| Equation |
|
|
 |
| Reaction class |
|
| Enzyme |
|
| Pathway |
| rn00940 | Phenylpropanoid biosynthesis |
|
| Brite |
Enzymatic reactions [BR:br08201]
3. Hydrolase reactions
3.2 Glycosylases
3.2.1 Glycosidases, i.e. enzymes that hydrolyse O- and S-glycosyl compounds
3.2.1.126
R02595 Coniferin + H2O <=> Coniferyl alcohol + D-Glucose
|
| Other DBs |
|
| LinkDB |
|