KEGG   REACTION: R02654
Entry
R02654                      Reaction                               
Name
UDP-N-acetyl-D-glucosamine:phosphatidylinositol N-acetyl-D-glucosaminyltransferase
Definition
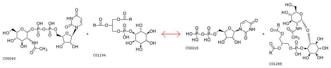
UDP-N-acetyl-alpha-D-glucosamine + 1-Phosphatidyl-D-myo-inositol <=> UDP + N-Acetyl-D-glucosaminylphosphatidylinositol
Equation
Remark
Same as: R05916
Reaction class
RC00005  C00015_C00043
RC00049  C01194_C01288
Enzyme
Brite
Enzymatic reactions [BR:br08201]
 2. Transferase reactions
  2.4  Glycosyltransferases
   2.4.1  Hexosyltransferases
    2.4.1.198
     R02654  UDP-N-acetyl-alpha-D-glucosamine + 1-Phosphatidyl-D-myo-inositol <=> UDP + N-Acetyl-D-glucosaminylphosphatidylinositol
Other DBs
RHEA: 14792
LinkDB

DBGET integrated database retrieval system