REACTION: R02793
Help
Entry
R02793 Reaction
Name
3alpha,7alpha,12alpha-trihydroxy-5beta-cholanate:NADP+ 12-oxidoreductase
Definition
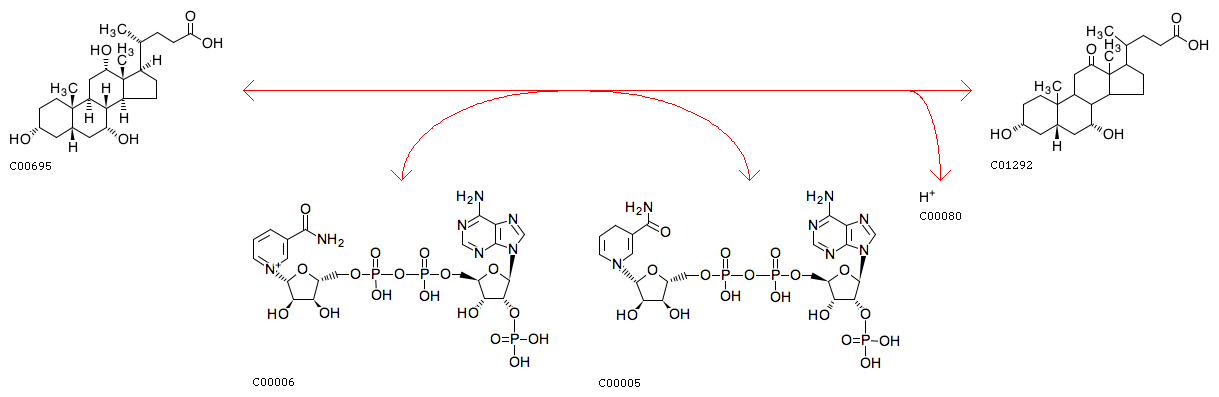
Cholic acid + NADP+ <=> 3alpha,7alpha-Dihydroxy-12-oxo-5beta-cholanate + NADPH + H+
Equation
C00695
+
C00006
<=>
C01292
+
C00005
+
C00080
Reaction class
RC00001
C00005_C00006
RC00127
C00695_C01292
Enzyme
1.1.1.176
Brite
Enzymatic reactions [BR:
br08201
]
1. Oxidoreductase reactions
1.1 Acting on the CH-OH group of donors
1.1.1 With NAD+ or NADP+ as acceptor
1.1.1.176
R02793 Cholic acid + NADP+ <=> 3alpha,7alpha-Dihydroxy-12-oxo-5beta-cholanate + NADPH + H+
BRITE hierarchy
Other DBs
RHEA:
14132
LinkDB
All DBs
DBGET
integrated database retrieval system