| Entry |
|
| Name |
chitosan N-acetylglucosaminohydrolase
|
| Definition |
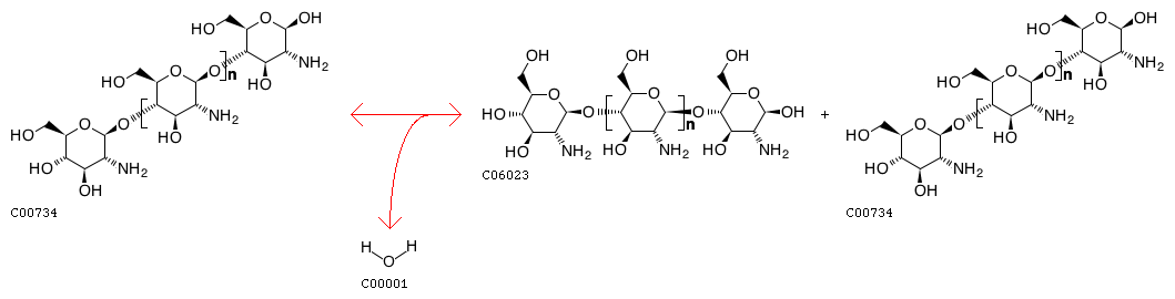
Chitosan + H2O <=> D-Glucosaminide + Chitosan
|
| Equation |
|
|
 |
| Remark |
|
| Enzyme |
|
| Pathway |
| rn00520 | Amino sugar and nucleotide sugar metabolism |
|
| Brite |
Enzymatic reactions [BR:br08201]
3. Hydrolase reactions
3.2 Glycosylases
3.2.1 Glycosidases, i.e. enzymes that hydrolyse O- and S-glycosyl compounds
3.2.1.132
R02833 Chitosan + H2O <=> D-Glucosaminide + Chitosan
|
| Orthology |
|
| LinkDB |
|