| Entry |
|
| Name |
4-carboxymethylbut-3-en-4-olide enol-lactonohydrolase
|
| Definition |
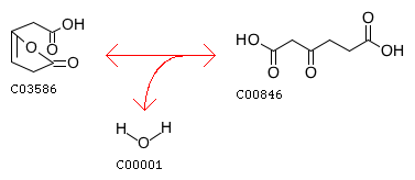
2-Oxo-2,3-dihydrofuran-5-acetate + H2O <=> 3-Oxoadipate
|
| Equation |
|
|
 |
| Reaction class |
|
| Enzyme |
|
| Pathway |
| rn01120 | Microbial metabolism in diverse environments |
| rn01220 | Degradation of aromatic compounds |
|
| Module |
| M00568 | Catechol ortho-cleavage, catechol => 3-oxoadipate |
|
| Brite |
Enzymatic reactions [BR:br08201]
3. Hydrolase reactions
3.1 Acting on ester bonds
3.1.1 Carboxylic-ester hydrolases
3.1.1.24
R02991 2-Oxo-2,3-dihydrofuran-5-acetate + H2O <=> 3-Oxoadipate
|
| Orthology |
|
| Other DBs |
|
| LinkDB |
|