REACTION: R03051
Help
Entry
R03051 Reaction
Name
2,3-dihydroxy-3-methylbutanoate:NADP+ oxidoreductase (isomerizing)
Definition
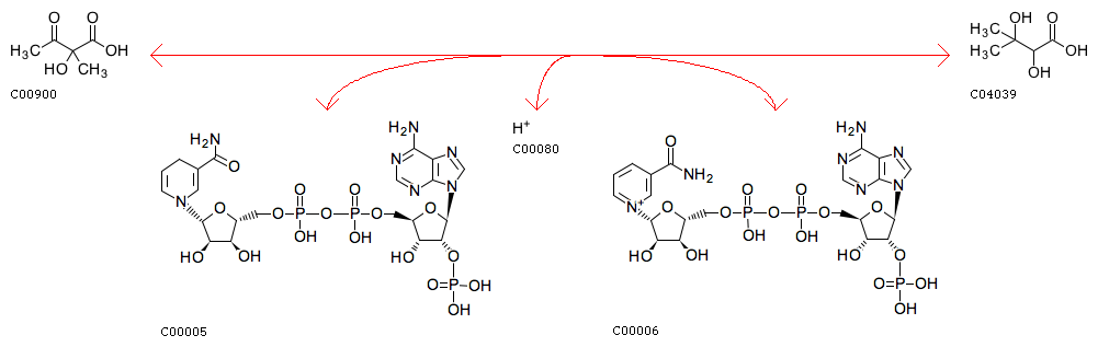
2-Acetolactate + NADPH + H+ <=> 2,3-Dihydroxy-3-methylbutanoate + NADP+
Equation
C00900
+
C00005
+
C00080
<=>
C04039
+
C00006
Reaction class
RC00001
C00005_C00006
RC00836
C00900_C04039
Enzyme
1.1.1.86
Brite
Enzymatic reactions [BR:
br08201
]
1. Oxidoreductase reactions
1.1 Acting on the CH-OH group of donors
1.1.1 With NAD+ or NADP+ as acceptor
1.1.1.86
R03051 2-Acetolactate + NADPH + H+ <=> 2,3-Dihydroxy-3-methylbutanoate + NADP+
BRITE hierarchy
Orthology
K00053
ketol-acid reductoisomerase [EC:
1.1.1.86
]
LinkDB
All DBs
DBGET
integrated database retrieval system