REACTION: R03054
Help
Entry
R03054 Reaction
Name
cinnamyl-alcohol:NADP+ oxidoreductase
Definition
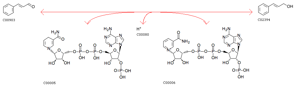
Cinnamaldehyde + NADPH + H+ <=> Cinnamyl alcohol + NADP+
Equation
C00903
+
C00005
+
C00080
<=>
C02394
+
C00006
Reaction class
RC00001
C00005_C00006
RC00649
C00903_C02394
Enzyme
1.1.1.195
Brite
Enzymatic reactions [BR:
br08201
]
1. Oxidoreductase reactions
1.1 Acting on the CH-OH group of donors
1.1.1 With NAD+ or NADP+ as acceptor
1.1.1.195
R03054 Cinnamaldehyde + NADPH + H+ <=> Cinnamyl alcohol + NADP+
BRITE hierarchy
Other DBs
RHEA:
10395
LinkDB
All DBs
DBGET
integrated database retrieval system