KEGG   REACTION: R03229
Entry
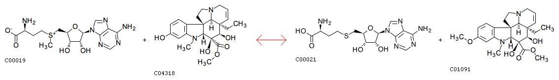
R03229                      Reaction                               
Name
S-adenosyl-L-methionine:11-O-demethyl-17-O-deacetylvindoline 11-O-methyltransferase
Definition
S-Adenosyl-L-methionine + 11-O-Demethyl-17-O-deacetylvindoline <=> S-Adenosyl-L-homocysteine + Deacetylvindoline
Equation
Reaction class
RC00003  C00019_C00021
RC00392  C01091_C04318
Enzyme
Brite
Enzymatic reactions [BR:br08201]
 2. Transferase reactions
  2.1  Transferring one-carbon groups
   2.1.1  Methyltransferases
    2.1.1.94
     R03229  S-Adenosyl-L-methionine + 11-O-Demethyl-17-O-deacetylvindoline <=> S-Adenosyl-L-homocysteine + Deacetylvindoline
LinkDB

DBGET integrated database retrieval system