| Entry |
|
| Name |
stachyose fructohydrolase
|
| Definition |
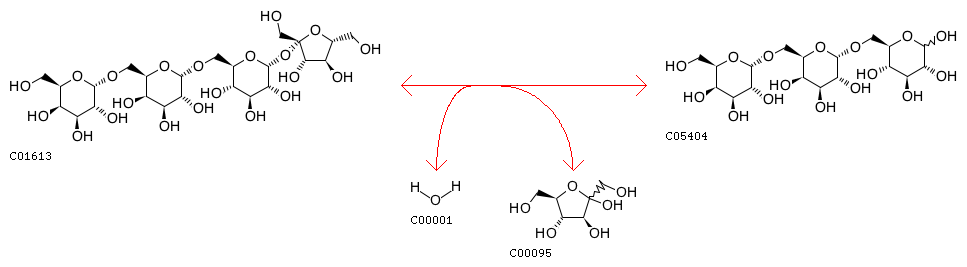
Stachyose + H2O <=> D-Gal alpha 1->6D-Gal alpha 1->6D-Glucose + D-Fructose
|
| Equation |
|
|
 |
| Remark |
|
| Reaction class |
|
| Enzyme |
|
| Pathway |
|
| Brite |
Enzymatic reactions [BR:br08201]
3. Hydrolase reactions
3.2 Glycosylases
3.2.1 Glycosidases, i.e. enzymes that hydrolyse O- and S-glycosyl compounds
3.2.1.26
R03635 Stachyose + H2O <=> D-Gal alpha 1->6D-Gal alpha 1->6D-Glucose + D-Fructose
|
| Orthology |
|
| LinkDB |
|