| Entry |
|
| Name |
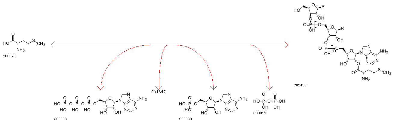
L-methionine:tRNAMet ligase (AMP-forming)
|
| Definition |
ATP + L-Methionine + tRNA(Met) <=> AMP + Diphosphate + L-Methionyl-tRNA
|
| Equation |
|
|
 |
| Reaction class |
|
| Enzyme |
|
| Pathway |
| rn00970 | Aminoacyl-tRNA biosynthesis |
|
| Brite |
Enzymatic reactions [BR:br08201]
6. Ligase reactions
6.1 Forming carbon-oxygen bonds
6.1.1 Ligases forming aminoacyl-tRNA and related compounds
6.1.1.10
R03659 ATP + L-Methionine + tRNA(Met) <=> AMP + Diphosphate + L-Methionyl-tRNA
|
| Orthology |
|
| Other DBs |
|
| LinkDB |
|