| Entry |
|
| Name |
L-serine:tRNA(Ser) ligase (AMP-forming)
|
| Definition |
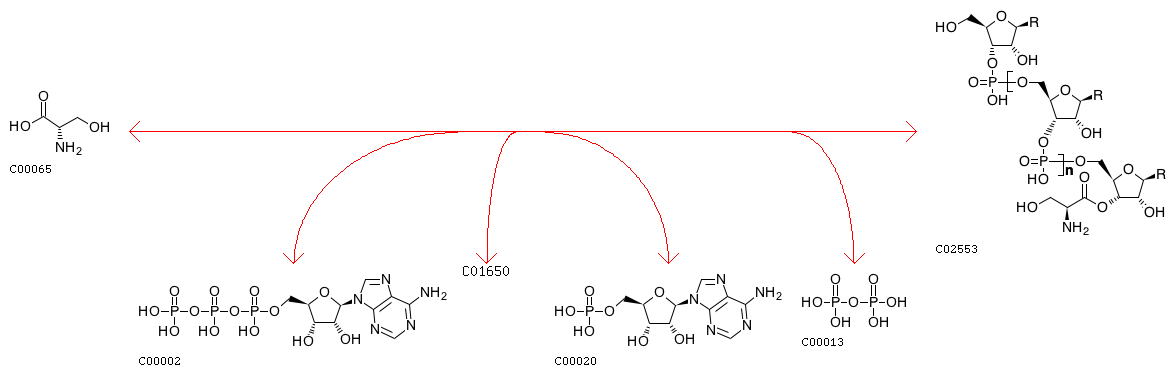
ATP + L-Serine + tRNA(Ser) <=> AMP + Diphosphate + L-Seryl-tRNA(Ser)
|
| Equation |
|
|
 |
| Reaction class |
|
| Enzyme |
|
| Pathway |
| rn00970 | Aminoacyl-tRNA biosynthesis |
|
| Brite |
Enzymatic reactions [BR:br08201]
6. Ligase reactions
6.1 Forming carbon-oxygen bonds
6.1.1 Ligases forming aminoacyl-tRNA and related compounds
6.1.1.11
R03662 ATP + L-Serine + tRNA(Ser) <=> AMP + Diphosphate + L-Seryl-tRNA(Ser)
|
| Orthology |
|
| Other DBs |
|
| LinkDB |
|