REACTION: R03689
Help
Entry
R03689 Reaction
Name
lanosterol delta24-reductase
Definition
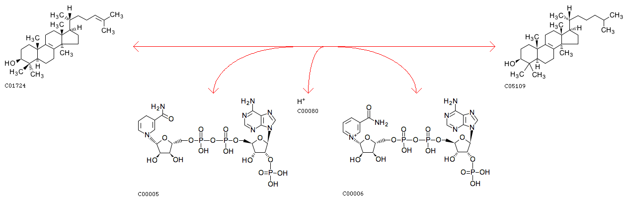
Lanosterol + NADPH + H+ <=> 24,25-Dihydrolanosterol + NADP+
Equation
C01724
+
C00005
+
C00080
<=>
C05109
+
C00006
Reaction class
RC00001
C00005_C00006
RC00522
C01724_C05109
Enzyme
1.3.1.72
Pathway
rn00100
Steroid biosynthesis
Brite
Enzymatic reactions [BR:
br08201
]
1. Oxidoreductase reactions
1.3 Acting on the CH-CH group of donors
1.3.1 With NAD+ or NADP+ as acceptor
1.3.1.72
R03689 Lanosterol + NADPH + H+ <=> 24,25-Dihydrolanosterol + NADP+
BRITE hierarchy
Orthology
K09828
Delta24-sterol reductase [EC:
1.3.1.72
1.3.1.-]
Other DBs
RHEA:
33922
LinkDB
All DBs
DBGET
integrated database retrieval system