KEGG   REACTION: R03747
Entry
R03747                      Reaction                               
Name
3-oxododecanoate carboxy-lyase
Definition
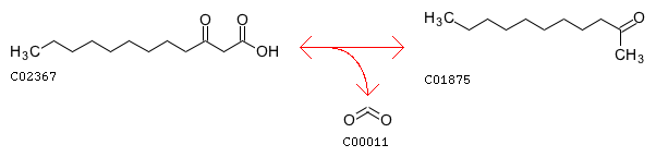
3-Oxododecanoic acid <=> 2-Undecanone + CO2
Equation
Reaction class
RC00040  C01875_C02367
Enzyme
Brite
Enzymatic reactions [BR:br08201]
 4. Lyase reactions
  4.1  Carbon-carbon lyases
   4.1.1  Carboxy-lyases
    4.1.1.56
     R03747  3-Oxododecanoic acid <=> 2-Undecanone + CO2
Other DBs
RHEA: 13388
LinkDB

DBGET integrated database retrieval system