KEGG   REACTION: R03922
Entry
R03922                      Reaction                               
Name
S-adenosyl-L-methionine:5-(N7-methyl 5-triphosphoguanosine)-(purine-ribonucleotide)-[mRNA] 2-O-methyltransferase
Definition
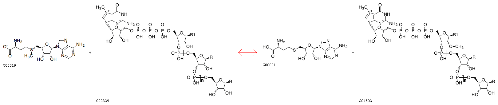
S-Adenosyl-L-methionine + m7G(5')pppR-mRNA <=> S-Adenosyl-L-homocysteine + m7G(5')pppRm-mRNA
Equation
Reaction class
RC00003  C00019_C00021
RC00466  C02339_C04802
Enzyme
Brite
Enzymatic reactions [BR:br08201]
 2. Transferase reactions
  2.1  Transferring one-carbon groups
   2.1.1  Methyltransferases
    2.1.1.57
     R03922  S-Adenosyl-L-methionine + m7G(5')pppR-mRNA <=> S-Adenosyl-L-homocysteine + m7G(5')pppRm-mRNA
Orthology
K14589  cap1 methyltransferase [EC:2.1.1.57]
Other DBs
RHEA: 19620
LinkDB

DBGET integrated database retrieval system