KEGG   REACTION: R04059
Entry
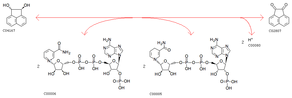
R04059                      Reaction                               
Name
(+/-)-trans-acenaphthene-1,2-diol:NADP+ oxidoreductase
Definition
(+/-)-trans-Acenaphthene-1,2-diol + 2 NADP+ <=> Acenaphthenequinone + 2 NADPH + 2 H+
Equation
C04167 + 2 C00006 <=> C02807 + 2 C00005 + 2 C00080
Reaction class
RC00001  C00005_C00006
RC01061  C02807_C04167
Enzyme
Brite
Enzymatic reactions [BR:br08201]
 1. Oxidoreductase reactions
  1.10  Acting on diphenols and related substances as donors
   1.10.1  With NAD+ or NADP+ as acceptor
    1.10.1.1
     R04059  (+/-)-trans-Acenaphthene-1,2-diol + 2 NADP+ <=> Acenaphthenequinone + 2 NADPH + 2 H+
Other DBs
RHEA: 22187
LinkDB

DBGET integrated database retrieval system