 | | REACTION: R04365 | |
| Entry |
|
| Name |
succinyl-CoA:2,3,4,5-tetrahydropyridine-2,6-dicarboxylate N-succinyltransferase
|
| Definition |
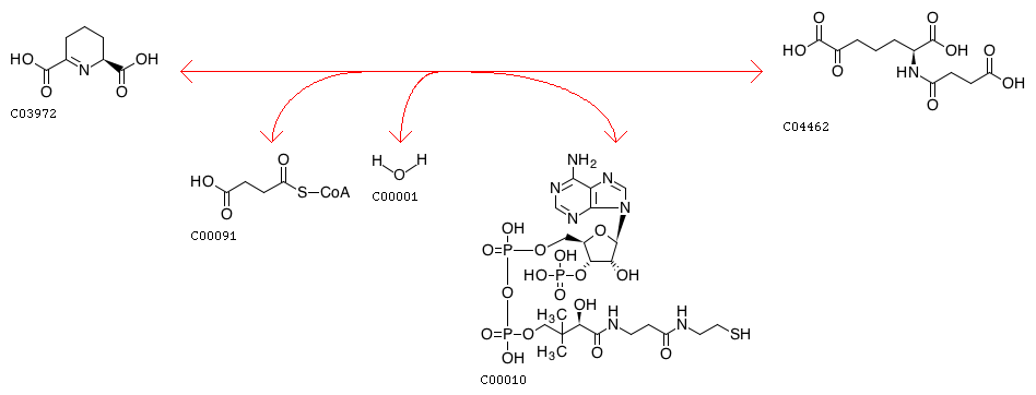
Succinyl-CoA + 2,3,4,5-Tetrahydrodipicolinate + H2O <=> CoA + N-Succinyl-2-L-amino-6-oxoheptanedioate
|
| Equation |
|
|
 |
| Reaction class |
|
| Enzyme |
|
| Pathway |
| rn01120 | Microbial metabolism in diverse environments |
| rn01230 | Biosynthesis of amino acids |
|
| Module |
| M00016 | Lysine biosynthesis, succinyl-DAP pathway, aspartate => lysine |
|
| Brite |
Enzymatic reactions [BR:br08201]
2. Transferase reactions
2.3 Acyltransferases
2.3.1 Transferring groups other than aminoacyl groups
2.3.1.117
R04365 Succinyl-CoA + 2,3,4,5-Tetrahydrodipicolinate + H2O <=> CoA + N-Succinyl-2-L-amino-6-oxoheptanedioate
|
| Orthology |
| K00674 | 2,3,4,5-tetrahydropyridine-2,6-dicarboxylate N-succinyltransferase [EC:2.3.1.117] |
|
| Other DBs |
|
| LinkDB |
|
|
|