KEGG   REACTION: R04393
Entry
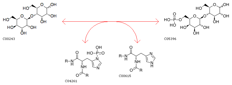
R04393                      Reaction                               
Name
protein-N(pi)-phosphohistidine:lactose 6-phosphotransferase
Definition
Protein N(pi)-phospho-L-histidine + Lactose <=> Protein histidine + Lactose 6'-phosphate
Equation
Remark
Same as: R06237
Reaction class
RC00017  C00243_C05396
RC03206  C00615_C04261
Enzyme
Pathway
rn00052  Galactose metabolism
rn01100  Metabolic pathways
Brite
Enzymatic reactions [BR:br08201]
 2. Transferase reactions
  2.7  Transferring phosphorus-containing groups
   2.7.1  Phosphotransferases with an alcohol group as acceptor
    2.7.1.207
     R04393  Protein N(pi)-phospho-L-histidine + Lactose <=> Protein histidine + Lactose 6'-phosphate
Orthology
K02786  lactose PTS system EIIA component [EC:2.7.1.207]
K02788  lactose PTS system EIICB component [EC:2.7.1.207]
Other DBs
RHEA: 42403
LinkDB

DBGET integrated database retrieval system