KEGG   REACTION: R04527
Entry
R04527                      Reaction                               
Name
peptide-D-galactosyl-N-acetyl-alpha-D-galactosaminyl-L-serine D-galactosyl-N-acetyl-galactosaminohydrolase
Definition
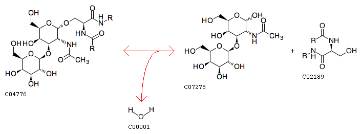
Peptide beta-D-galactosyl-(1->3)-N-acetyl-alpha-D-galactosaminyl-L-serine + H2O <=> beta-D-Galactosyl-(1->3)-N-acetyl-D-galactosamine + [Protein]-L-serine
Equation
Remark
Same as: R06140
Reaction class
RC00059  C02189_C04776
RC00451  C04776_C07278
Enzyme
Brite
Enzymatic reactions [BR:br08201]
 3. Hydrolase reactions
  3.2  Glycosylases
   3.2.1  Glycosidases, i.e. enzymes that hydrolyse O- and S-glycosyl compounds
    3.2.1.97
     R04527  Peptide beta-D-galactosyl-(1->3)-N-acetyl-alpha-D-galactosaminyl-L-serine + H2O <=> beta-D-Galactosyl-(1->3)-N-acetyl-D-galactosamine + [Protein]-L-serine
Other DBs
RHEA: 30986
LinkDB

DBGET integrated database retrieval system