 | | REACTION: R04615 | |
| Entry |
|
| Name |
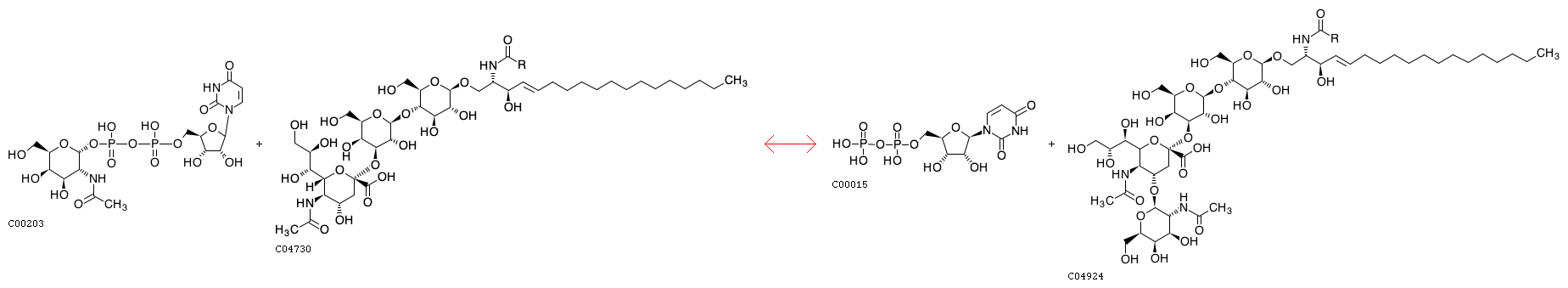
UDP-N-acetyl-D-galactosamine:N-acetylneuraminyl-2,3-alpha-D-galactosyl1,4-beta-D-glucosylceramide beta-1,4-N-acetyl-galactosaminyltransferase
|
| Definition |
UDP-N-acetyl-D-galactosamine + GM3 <=> UDP + N-Acetyl-D-galactosaminyl-1,4-beta-N-acetylneuraminyl-2,3-alpha-D-galactosyl-1,4-beta-D-glucosylceramide
|
| Equation |
|
|
 |
| Remark |
|
| Reaction class |
|
| Enzyme |
2.4.1.-
|
| Brite |
Enzymatic reactions [BR:br08201]
2. Transferase reactions
2.4 Glycosyltransferases
2.4.1 Hexosyltransferases
2.4.1.-
R04615 UDP-N-acetyl-D-galactosamine + GM3 <=> UDP + N-Acetyl-D-galactosaminyl-1,4-beta-N-acetylneuraminyl-2,3-alpha-D-galactosyl-1,4-beta-D-glucosylceramide
|
| Other DBs |
|
| LinkDB |
|
|
|