| Entry |
|
| Name |
N-(5'-phospho-D-ribosylformimino)-5-amino-1- (5''-phospho-D-ribosyl)-4-imidazolecarboxamide ketol-isomerase;
1-(5-phospho-beta-D-ribosyl)-5-[(5-phospho-beta-D-ribosylamino)methylideneamino]imidazole-4-carboxamide aldose-ketose-isomerase
|
| Definition |
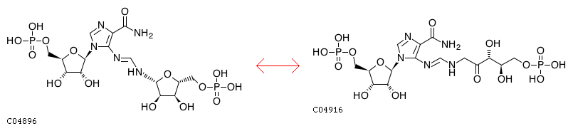
5-(5-Phospho-D-ribosylaminoformimino)-1-(5-phosphoribosyl)-imidazole-4-carboxamide <=> N-(5'-Phospho-D-1'-ribulosylformimino)-5-amino-1-(5''-phospho-D-ribosyl)-4-imidazolecarboxamide
|
| Equation |
|
|
 |
| Reaction class |
|
| Enzyme |
|
| Pathway |
| rn01110 | Biosynthesis of secondary metabolites |
| rn01230 | Biosynthesis of amino acids |
|
| Module |
| M00026 | Histidine biosynthesis, PRPP => histidine |
|
| Brite |
Enzymatic reactions [BR:br08201]
5. Isomerase reactions
5.3 Intramolecular oxidoreductases
5.3.1 Interconverting aldoses and ketoses, and related compounds
5.3.1.16
R04640 5-(5-Phospho-D-ribosylaminoformimino)-1-(5-phosphoribosyl)-imidazole-4-carboxamide <=> N-(5'-Phospho-D-1'-ribulosylformimino)-5-amino-1-(5''-phospho-D-ribosyl)-4-imidazolecarboxamide
|
| Orthology |
| K01814 | phosphoribosylformimino-5-aminoimidazole carboxamide ribotide isomerase [EC:5.3.1.16] |
|
| Other DBs |
|
| LinkDB |
|