KEGG   REACTION: R04685
Entry
R04685                      Reaction                               
Name
peptidyl-tRNA:aminoacyl-tRNA N-peptidyltransferase
Definition
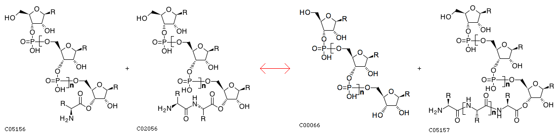
Aminoacyl-tRNA + Peptidyl-tRNA <=> tRNA + Peptidyl-aminoacyl-tRNA
Equation
Reaction class
RC00055  C00066_C02056
RC00064  C05156_C05157
Enzyme
Brite
Enzymatic reactions [BR:br08201]
 2. Transferase reactions
  2.3  Acyltransferases
   2.3.2  Aminoacyltransferases
    2.3.2.12
     R04685  Aminoacyl-tRNA + Peptidyl-tRNA <=> tRNA + Peptidyl-aminoacyl-tRNA
Other DBs
RHEA: 12063
LinkDB

DBGET integrated database retrieval system