 | | REACTION: R04785 | |
| Entry |
|
| Name |
L-dehydroascorbate lactonohydrolase
|
| Definition |
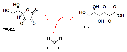
Dehydroascorbate + H2O <=> (4R,5S)-4,5,6-Trihydroxy-2,3-dioxohexanoate
|
| Equation |
|
|
 |
| Reaction class |
|
| Enzyme |
|
| Pathway |
| rn00053 | Ascorbate and aldarate metabolism |
|
| Brite |
Enzymatic reactions [BR:br08201]
3. Hydrolase reactions
3.1 Acting on ester bonds
3.1.1 Carboxylic-ester hydrolases
3.1.1.17
R04785 Dehydroascorbate + H2O <=> (4R,5S)-4,5,6-Trihydroxy-2,3-dioxohexanoate
|
| Other DBs |
|
| LinkDB |
|
|
|