KEGG   REACTION: R04790
Entry
R04790                      Reaction                               
Definition
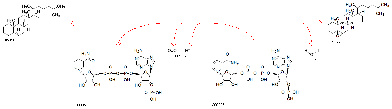
5-Cholestene + NADPH + Oxygen + H+ <=> 5,6alpha-Epoxy-5alpha-cholestane + NADP+ + H2O
Equation
Reaction class
RC00001  C00005_C00006
RC00520  C05416_C05423
Enzyme
1.14.13.-
Brite
Enzymatic reactions [BR:br08201]
 1. Oxidoreductase reactions
  1.14  Acting on paired donors, with incorporation or reduction of molecular oxygen
   1.14.13  With NADH or NADPH as one donor, and incorporation of one atom of oxygen into the other donor
    1.14.13.-
     R04790  5-Cholestene + NADPH + Oxygen + H+ <=> 5,6alpha-Epoxy-5alpha-cholestane + NADP+ + H2O
LinkDB

DBGET integrated database retrieval system