KEGG   REACTION: R04906
Entry
R04906                      Reaction                               
Definition
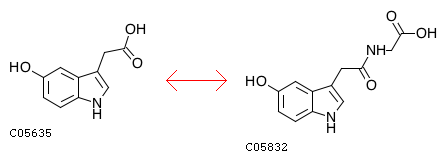
5-Hydroxyindoleacetate <=> 5-Hydroxyindoleacetylglycine
Equation
Comment
incomplete reaction
Reaction class
RC00090  C05635_C05832
Enzyme
6.3.2.-
Pathway
rn00380  Tryptophan metabolism
Brite
Enzymatic reactions [BR:br08201]
 6. Ligase reactions
  6.3  Forming carbon-nitrogen bonds
   6.3.2  Acid-D-amino-acid ligases (peptide synthases)
    6.3.2.-
     R04906  5-Hydroxyindoleacetate <=> 5-Hydroxyindoleacetylglycine
LinkDB

DBGET integrated database retrieval system