KEGG   REACTION: R04971
Entry
R04971                      Reaction                               
Definition
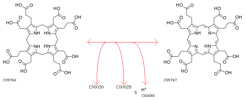
Uroporphyrinogen I + Reduced acceptor <=> Uroporphyrin I + Acceptor + 6 H+
Equation
Reaction class
RC00885  C05766_C05767
Pathway
rn00860  Porphyrin metabolism
rn01110  Biosynthesis of secondary metabolites
LinkDB

DBGET integrated database retrieval system