REACTION: R05129
Help
Entry
R05129 Reaction
Definition
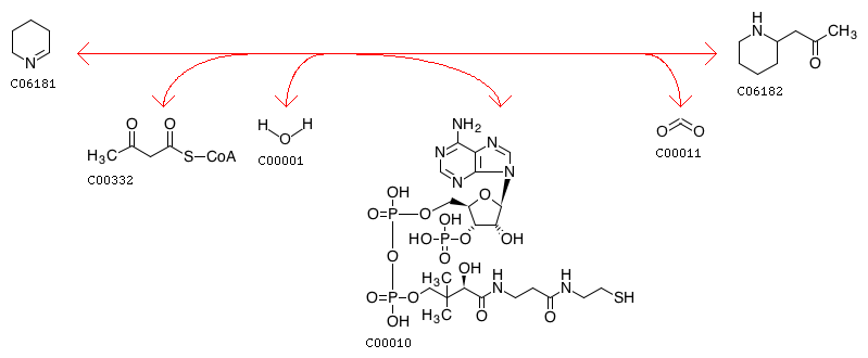
Piperideine + Acetoacetyl-CoA + H2O <=> Pelletierine + CoA + CO2
Equation
C06181
+
C00332
+
C00001
<=>
C06182
+
C00010
+
C00011
Comment
enzyme not yet characterized
Reaction class
RC00004
C00010_C00332
RC01274
C06181_C06182
Pathway
rn00960
Tropane, piperidine and pyridine alkaloid biosynthesis
rn01100
Metabolic pathways
rn01110
Biosynthesis of secondary metabolites
LinkDB
All DBs
DBGET
integrated database retrieval system