KEGG   REACTION: R05165
Entry
R05165                      Reaction                               
Name
1-carboxyvinyl carboxyphosphonate phosphorylmutase (decarboxylating)
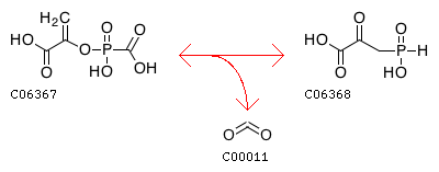
Definition
1-Carboxyvinyl carboxyphosphonate <=> 3-(Hydrohydroxyphosphoryl)pyruvate + CO2
Equation
Comment
two-step reaction (see R08868+R08869)
Reaction class
RC02775  C06367_C06368
Enzyme
Pathway
rn00440  Phosphonate and phosphinate metabolism
rn01110  Biosynthesis of secondary metabolites
Brite
Enzymatic reactions [BR:br08201]
 2. Transferase reactions
  2.7  Transferring phosphorus-containing groups
   2.7.8  Transferases for other substituted phosphate groups
    2.7.8.23
     R05165  1-Carboxyvinyl carboxyphosphonate <=> 3-(Hydrohydroxyphosphoryl)pyruvate + CO2
Orthology
K12909  carboxyvinyl-carboxyphosphonate phosphorylmutase [EC:2.7.8.23]
Other DBs
RHEA: 14048
LinkDB

DBGET integrated database retrieval system