REACTION: R05179
Help
Entry
R05179 Reaction
Name
S-adenosyl-L-methionine:[RbcL]-L-lysine N6-methyltransferase
Definition
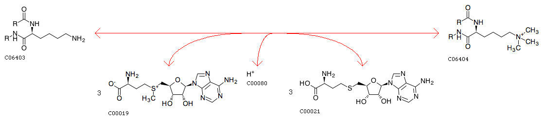
3 S-Adenosyl-L-methionine + [Ribulose-1,5-bisphosphate carboxylase]-L-lysine + H+ <=> 3 S-Adenosyl-L-homocysteine + [Ribulose-1,5-bisphosphate carboxylase]-N6,N6,N6-trimethyl-L-lysine
Equation
3
C00019
+
C06403
+
C00080
<=> 3
C00021
+
C06404
Reaction class
RC01974
C06403_C06404
Enzyme
2.1.1.127
Brite
Enzymatic reactions [BR:
br08201
]
2. Transferase reactions
2.1 Transferring one-carbon groups
2.1.1 Methyltransferases
2.1.1.127
R05179 3 S-Adenosyl-L-methionine + [Ribulose-1,5-bisphosphate carboxylase]-L-lysine + H+ <=> 3 S-Adenosyl-L-homocysteine + [Ribulose-1,5-bisphosphate carboxylase]-N6,N6,N6-trimethyl-L-lysine
BRITE hierarchy
Orthology
K00592
[ribulose-bisphosphate carboxylase]/[fructose-bisphosphate aldolase]-lysine N-methyltransferase [EC:
2.1.1.127
2.1.1.259
]
Other DBs
RHEA:
50999
LinkDB
All DBs
DBGET
integrated database retrieval system