REACTION: R05244
Help
Entry
R05244 Reaction
Name
NADPH:p-benzoquinone oxidoreductase
Definition
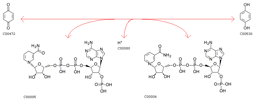
p-Benzoquinone + NADPH + H+ <=> Hydroquinone + NADP+
Equation
C00472
+
C00005
+
C00080
<=>
C00530
+
C00006
Reaction class
RC00001
C00005_C00006
RC00150
C00472_C00530
Enzyme
1.6.5.6
Pathway
rn00627
Aminobenzoate degradation
rn01120
Microbial metabolism in diverse environments
Brite
Enzymatic reactions [BR:
br08201
]
1. Oxidoreductase reactions
1.6 Acting on NADH or NADPH
1.6.5 With a quinone or similar compound as acceptor
1.6.5.6
R05244 p-Benzoquinone + NADPH + H+ <=> Hydroquinone + NADP+
BRITE hierarchy
Orthology
K23528
p-benzoquinone reductase (NADPH) [EC:
1.6.5.6
]
Other DBs
RHEA:
23491
LinkDB
All DBs
DBGET
integrated database retrieval system