REACTION: R05250
Help
Entry
R05250 Reaction
Definition
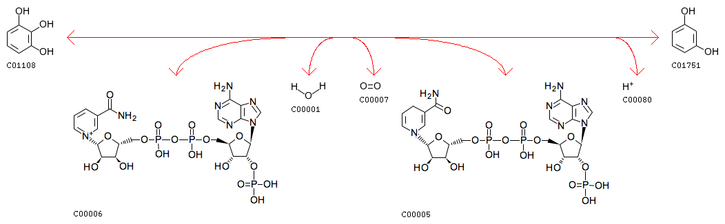
1,2,3-Trihydroxybenzene + NADP+ + H2O <=> Resorcinol + Oxygen + NADPH + H+
Equation
C01108
+
C00006
+
C00001
<=>
C01751
+
C00007
+
C00005
+
C00080
Reaction class
RC00001
C00005_C00006
RC00236
C01108_C01751
LinkDB
All DBs
DBGET
integrated database retrieval system