REACTION: R05866
Help
Entry
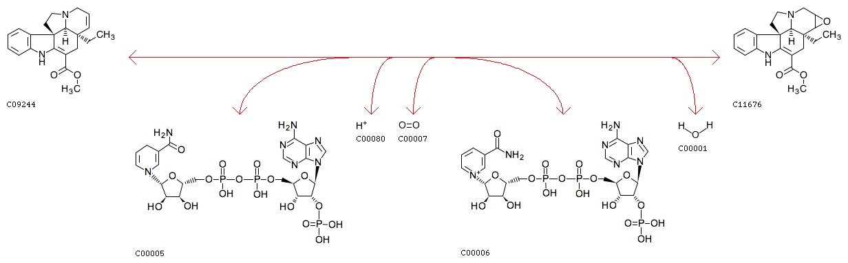
R05866 Reaction
Definition
Tabersonine + NADPH + H+ + Oxygen <=> Lochnericine + NADP+ + H2O
Equation
C09244
+
C00005
+
C00080
+
C00007
<=>
C11676
+
C00006
+
C00001
Comment
Tabersonine 6,7-epoxidase, cytochrome P-450, NADPH, O2
Reaction class
RC00001
C00005_C00006
RC01642
C09244_C11676
Pathway
rn00901
Indole alkaloid biosynthesis
Other DBs
RHEA:
61059
LinkDB
All DBs
DBGET
integrated database retrieval system