| Entry |
|
| Name |
|
| Definition |
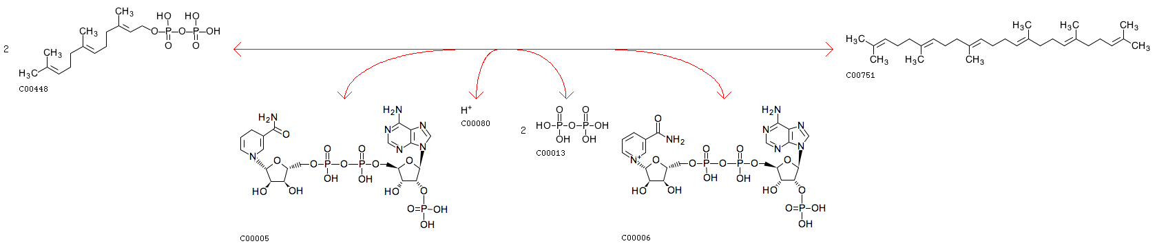
2 trans,trans-Farnesyl diphosphate + NADPH + H+ <=> Squalene + 2 Diphosphate + NADP+
|
| Equation |
|
|
 |
| Comment |
|
| Reaction class |
|
| Enzyme |
|
| Pathway |
|
| Brite |
Enzymatic reactions [BR:br08201]
2. Transferase reactions
2.5 Transferring alkyl or aryl groups, other than methyl groups
2.5.1 Transferring alkyl or aryl groups, other than methyl groups (only sub-subclass identified to date)
2.5.1.21
R06223 2 trans,trans-Farnesyl diphosphate + NADPH + H+ <=> Squalene + 2 Diphosphate + NADP+
|
| Orthology |
|
| Other DBs |
|
| LinkDB |
|