KEGG   REACTION: R06356
Entry
R06356                      Reaction                               
Definition
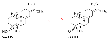
Neoabietinol <=> Neoabietal
Equation
Comment
incomplete reaction
Reaction class
RC00893  C11884_C11885
Enzyme
1.14.13.-
Pathway
rn00904  Diterpenoid biosynthesis
rn01110  Biosynthesis of secondary metabolites
Brite
Enzymatic reactions [BR:br08201]
 1. Oxidoreductase reactions
  1.14  Acting on paired donors, with incorporation or reduction of molecular oxygen
   1.14.13  With NADH or NADPH as one donor, and incorporation of one atom of oxygen into the other donor
    1.14.13.-
     R06356  Neoabietinol <=> Neoabietal
LinkDB

DBGET integrated database retrieval system