| Entry |
|
| Name |
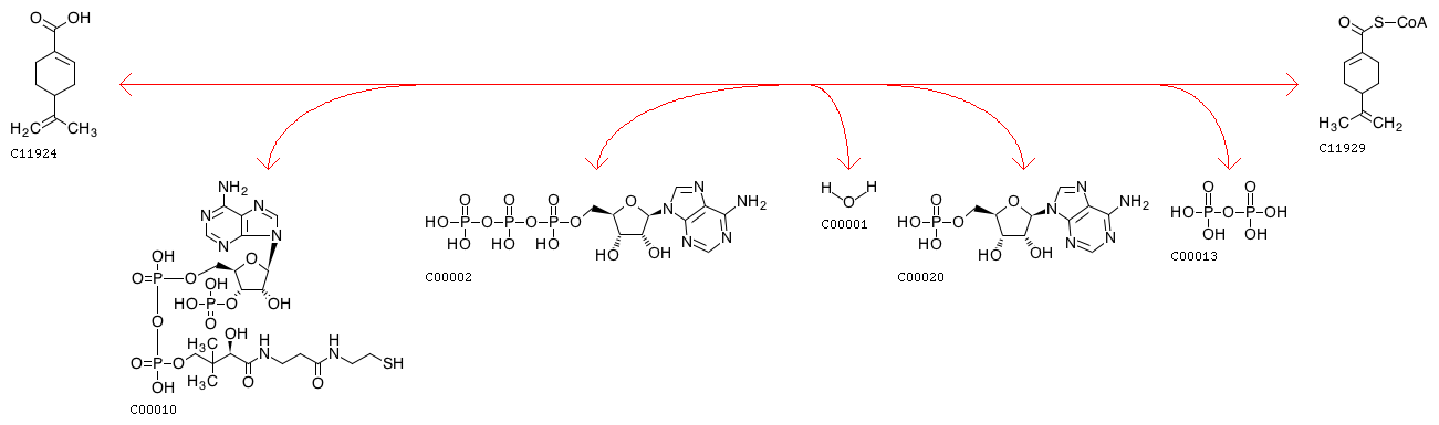
perillic acid:CoA ligase (AMP-forming)
|
| Definition |
Perillic acid + CoA + ATP <=> Perillyl-CoA + H2O + AMP + Diphosphate
|
| Equation |
|
|
 |
| Comment |
perillyl-CoA synthetase
see R06367
|
| Reaction class |
|
| Enzyme |
6.2.1.-
|
| Pathway |
|
| Brite |
Enzymatic reactions [BR:br08201]
6. Ligase reactions
6.2 Forming carbon-sulfur bonds
6.2.1 Acid-thiol ligases
6.2.1.-
R06368 Perillic acid + CoA + ATP <=> Perillyl-CoA + H2O + AMP + Diphosphate
|
| LinkDB |
|