| Entry |
|
| Name |
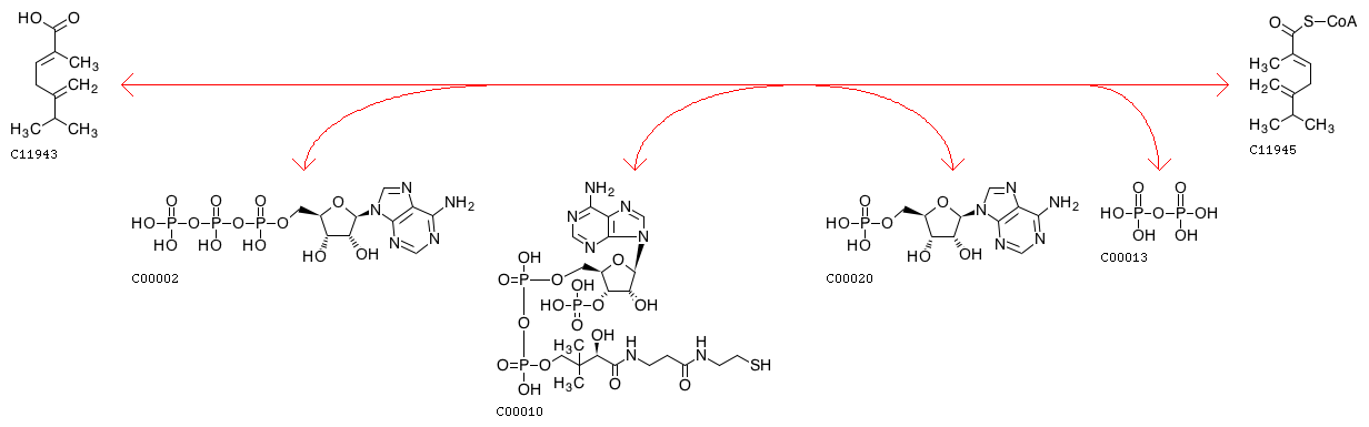
trans-2-methyl-5-isopropylhexa-2,5-dienoate-CoA ligase
|
| Definition |
trans-2-Methyl-5-isopropylhexa-2,5-dienoic acid + ATP + CoA <=> trans-2-Methyl-5-isopropylhexa-2,5-dienoyl-CoA + AMP + Diphosphate
|
| Equation |
|
|
 |
| Reaction class |
|
| Enzyme |
6.2.1.-
|
| Pathway |
| rn00907 | Pinene, camphor and geraniol degradation |
|
| Brite |
Enzymatic reactions [BR:br08201]
6. Ligase reactions
6.2 Forming carbon-sulfur bonds
6.2.1 Acid-thiol ligases
6.2.1.-
R06410 trans-2-Methyl-5-isopropylhexa-2,5-dienoic acid + ATP + CoA <=> trans-2-Methyl-5-isopropylhexa-2,5-dienoyl-CoA + AMP + Diphosphate
|
| LinkDB |
|