| Entry |
|
| Name |
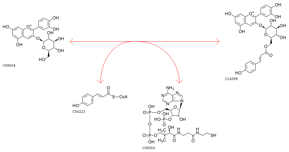
4-hydroxycinnamoyl-CoA:cyanidin-3-O-glucoside 6''-O-acyltransferase
|
| Definition |
Cyanidin 3-O-glucoside + p-Coumaroyl-CoA <=> Cyanidin 3-O-(6-O-p-coumaroyl)glucoside + CoA
|
| Equation |
|
|
 |
| Reaction class |
|
| Enzyme |
|
| Pathway |
| rn01110 | Biosynthesis of secondary metabolites |
|
| Brite |
Enzymatic reactions [BR:br08201]
2. Transferase reactions
2.3 Acyltransferases
2.3.1 Transferring groups other than aminoacyl groups
2.3.1.215
R06544 Cyanidin 3-O-glucoside + p-Coumaroyl-CoA <=> Cyanidin 3-O-(6-O-p-coumaroyl)glucoside + CoA
IUBMB reaction hierarchy [BR:br08202]
2. Transferase reactions
2.3.1.215
R10237 Anthocyanidin 3-O-beta-D-glucoside <=> Anthocyanidin 3-O-[6-O-(4-hydroxycinnamoyl)-beta-D-glucoside]
R06544 Cyanidin 3-O-glucoside <=> Cyanidin 3-O-(6-O-p-coumaroyl)glucoside
|
| Orthology |
|
| LinkDB |
|