KEGG   REACTION: R06666
Entry
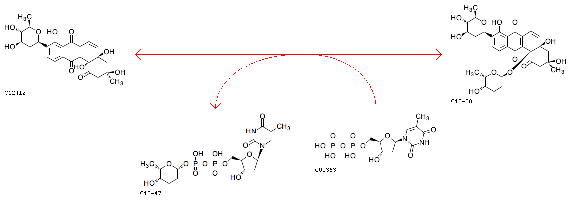
R06666                      Reaction                               
Definition
Aquayamycin + dTDP-beta-L-rhodinose <=> 100-2 + dTDP
Equation
Comment
glycosyltransferase, UrdGT1a
Reaction class
RC00005  C00363_C12447
RC00028  C12408_C12412
Pathway
rn01057  Biosynthesis of type II polyketide products
rn01110  Biosynthesis of secondary metabolites
Orthology
K15937  glycosyltransferase
LinkDB

DBGET integrated database retrieval system