KEGG   REACTION: R06689
Entry
R06689                      Reaction                               
Name
13-dihydrodaunorubicin,NADPH:oxygen oxidoreductase (13-hydroxylating)
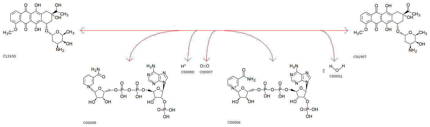
Definition
13-Dihydrodaunorubicin + NADPH + H+ + Oxygen <=> Daunorubicin + NADP+ + 2 H2O
Equation
Reaction class
RC00001  C00005_C00006
RC00228  C01907_C12430
Enzyme
Pathway
rn01057  Biosynthesis of type II polyketide products
rn01110  Biosynthesis of secondary metabolites
Brite
Enzymatic reactions [BR:br08201]
 1. Oxidoreductase reactions
  1.14  Acting on paired donors, with incorporation or reduction of molecular oxygen
   1.14.13  With NADH or NADPH as one donor, and incorporation of one atom of oxygen into the other donor
    1.14.13.181
     R06689  13-Dihydrodaunorubicin + NADPH + H+ + Oxygen <=> Daunorubicin + NADP+ + 2 H2O
Orthology
K15955  13-deoxydaunorubicin hydroxylase [EC:1.14.13.181]
Other DBs
RHEA: 37850
LinkDB

DBGET integrated database retrieval system