KEGG   REACTION: R06761
Entry
R06761                      Reaction                               
Definition
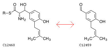
3-Dimethylallyl-beta-hydroxy-L-tyrosyl-[pcp] <=> 3-Dimethylallyl-4-hydroxybenzaldehyde
Equation
Comment
unclear reaction
Reaction class
RC00596  C12459_C12460
Pathway
rn00401  Novobiocin biosynthesis
rn01110  Biosynthesis of secondary metabolites
LinkDB

DBGET integrated database retrieval system