| Entry |
|
| Name |
(2Z,4E,7E)-2-hydroxy-6-oxonona-2,4,7-triene-1,9-dioate fumarylhydrolase
|
| Definition |
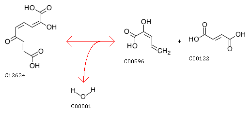
2-Hydroxy-6-ketononatrienedioate + H2O <=> 2-Hydroxy-2,4-pentadienoate + Fumarate
|
| Equation |
|
|
 |
| Reaction class |
|
| Enzyme |
|
| Pathway |
| rn01120 | Microbial metabolism in diverse environments |
| rn01220 | Degradation of aromatic compounds |
|
| Module |
| M00545 | Trans-cinnamate degradation, trans-cinnamate => acetyl-CoA |
|
| Brite |
Enzymatic reactions [BR:br08201]
3. Hydrolase reactions
3.7 Acting on carbon-carbon bonds
3.7.1 In ketonic substances
3.7.1.14
R06789 2-Hydroxy-6-ketononatrienedioate + H2O <=> 2-Hydroxy-2,4-pentadienoate + Fumarate
|
| Orthology |
|
| Other DBs |
|
| LinkDB |
|